020-87026501
仪德-透过新闻视角带您认识不一样的仪德

热门关键词: 斯派克光谱仪 光谱仪 手持式光谱仪 手持光谱仪 直读光谱仪 运动粘度计 便携式光谱仪

实验室电热板消解测定电子级多晶硅详解

返回列表 来源: 仪德 发布日期: 2023.02.02
电子级多晶硅是国家发展集成电路产业的基础原材料,是纯度最高的多晶硅材料。相对于太阳能级多晶硅99.9999%纯度,电子级多晶硅的纯度要求达到99.999999999%。电子级多晶硅其中的杂质含量更是得以0.1ppb的数量级计。本文参照标准《GB/T 37049-2018 电子级多晶硅中基体金属杂质含量的测定 电感耦合等离子体质谱法》使用实验电热板HT-300消解、ICP-MS测定电子级多晶硅中铁、铬、镍、铜、锌、钠的含量。

恒温电热板消解处理测定电子级多晶硅基体金属杂质含量


PS:本方法适用于基体金属杂质小于5ng/g范围内铁、铬、镍、铜、锌、钠含量的测定。本方法对于铁、铬、镍、铜、锌、钠六种元素的总检出限至少应小于0.4ng/g。

1.实验部分

1.1仪器和耗材
实验电热板HT-300(玻璃陶瓷台面耐腐蚀, 仪德科学
烧杯(50ml)
电子天平
ICP-MS

1.2试剂
纯水:符合SEMIF63的规定。
硝酸:质量分数65.0%~68.0%,每种金属杂质含量均低于10ng/L。
氢氟酸:质量分数30.0%~50.0%,每种金属杂质含量均低于10ng/L。
硫酸:质量分数95.0%~98.0%,每种金属杂质含量均低于10ng/L。
标准贮存溶液:铁、铬、镍、铜、锌、钠、钇、钴浓度均为1g/L,采用国内外可以量值溯源的有证标准物质。
硫酸:用纯水将上述硫酸稀释至质量分数为16.7%。
硝酸:硝酸、纯水的体积比为3:97或其他适当比例。
消解液:硝酸、氢氟酸的体积比为1:2或其他适当比例。

1.3样品制备
将电子级多晶硅样品破碎成便于溶解的小块,最大直径约5mm~10mm,破碎过程中应严格避免金属沾污。将样品在一定比例的硝酸、氢氟酸溶液中消解清洗,剥离全部表面层后再用纯水洗净。将样品放置在烧杯中,置于实验电热板HT-300上烘干至恒重。

1.4测试步骤
1.4.1在电子天平上准确称取0.5~1.0g试样(精确至0.0001g);

1.4.2将样品置于具有适当容积的、洁净的敞口容器中,加入适量的消解液,置于实验电热板HT-300上加热使试料溶解后,在160℃~170℃下将溶液蒸发至近干,必要时重复消解过程。室温冷却后,加入适量的硝酸定容(2mL~5mL,满足仪器检测即可),充分摇动使残渣完全溶解至试液为澄清透明,摇匀。

实验电热板

1.4.3进行仪器分析,将样品空白溶液、样品溶液和标准系列工作溶液分别在ICP-MS上进行分析,以钇和钴标准工作溶液为内标,用内标法校正。样品中各待分析元素和内标元素质量数的选择见下表:

质量数选择

1.4.4分析结果的计算
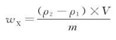
各金属杂质的含量以其质量分数ωx表示,按以下公式计算:

公式

式中:
ωx——样品中铁、铬、镍、铜、锌、钠的质量分数,单位为纳克每克(ng/g);
ρ1——空白溶液中待测元素的质量浓度,单位为纳克每毫升(ng/mL);
ρ2——样品溶液中待测元素的质量浓度,单位为纳克每毫升(ng/mL);
V——样品溶液的体积,单位为毫升(mL);
m——试料的质量,单位为克(g)。

2.结论

电子级硅材料的分析对设备、试验人员、原料、方法等方面要求高。实验中使用的加热消解设备是格丹纳实验电热板HT-300,其台面是玻璃陶瓷材质,耐酸碱之余还容易清洁,针对氢氟酸还配置保护膜,防止滴落腐蚀台面。而且电热板的面积无固定限制,可以根据自己日常处理样品的多少而自由选择。在处理的过程中还可以根据时机,添加需要的试剂,避免了密闭容器不容易添加试剂的苦恼。在处理中由于可以方便的看出所处理样品的状态、消解程度以及剩余样品量的多少。

【相关推荐】

全国服务热线

020-87026500
020-87026501

米兰手机登录入口 版权所有GUANGZHOU YIDE PRECISION SCIENTIFIC INSTRUMENTS CO., LTD.

公司地址:广州市黄埔区开创大道1936号萝岗奥园广场1016-1017室
备 案 号 :粤ICP备09106369号
      

联系方式contact US

  • 电话:020-87026500/01
  • 传真:020-87026502
  • 邮箱:info@yidekeyi.com
  • 扫一扫 微信二维码

粤公网安备 44010602008489号