020-87026501
仪德-透过新闻视角带您认识不一样的仪德

热门关键词: 斯派克光谱仪 光谱仪 手持式光谱仪 手持光谱仪 直读光谱仪 运动粘度计 便携式光谱仪

实验测试:土壤重金属电热板试样蒸干对结果的影响

返回列表 来源: 仪德 发布日期: 2021.05.21
土壤消解的方法有很多,本文采用电热板消解的方式,选用常用的HNO3+HF+HCIO4、开放式消煮法酸体系,对土壤进行消解,比较分析不同步骤中酸的蒸干对土壤中Cu、Pb、Cr、Fe、Mn5种重金属元素含量测定的影响,拟为选择电热板加热消解测定土壤样品重金属含量的方法提供参考。

土壤重金属电热板消解法试样蒸干对结果的影响


试验方法和内容


样品的采集与处理
实验土样均为同一样点采集,登记编号后置于塑料薄膜,摊成约2cm厚的薄层,置于室内避光自然风干后,对每一份样品采用四分法取样进行磨碎处理,过100目(0.149mm)土壤筛,保存待消煮测定。

仪器

原子吸收光谱仪
HT-300实验电热板(格丹纳)

实验电热板1

HT-300实验电热板

格丹纳HT-300实验电热板是用于实验室样品分析前处理中进行加热、赶酸、消解用的仪器。主要采用玻璃陶瓷材质组成的热台面,具有不长锈、易清洁、耐酸碱的功能,远程控制方式进行调节消解温度、消解时间,整机经过人工精密的防腐工艺加工,使用寿命比常规电热板长。

实验电热板


试剂

硝酸(HNO3)
氢氟酸(HF)
高氯酸(HCLO4)
盐酸(HCL)均为优级纯。
标准液: Cu(1.0000g/L)、 Pb( 1.0000g/L)、Cr( 1.0000g/L)、Fe(1.0000g/L)、Mn(1.0000g/L)并将其逐级稀释至标准使用溶液备用。


试验方法

土壤样品的分析采用HNO2—HF一HClO4开放式消煮法。准确称取0.5000g土壤样品于聚四氟乙烯坩埚中,加少量水润湿后再加入20ml HNO3置于电热板加热至粘稠状,加入20ml HF继续加热,为达到良好的飞硅效果,经常摇动坩埚,最后加入20ml的HClO3,并加热至白烟冒尽,对于含有机质较多的土样再加入适量HClO4,之后加盖消解,土壤分解物呈白色或淡黄色,倾斜坩埚呈不流动的粘稠状,用水冲洗内壁及坩埚盖,温热溶解残渣,冷却后定容至50ml。8组样品分别按照表中的方式进行消解,同时制作分析空白。

消解方法及蒸干过程


标准土样消解结果比较

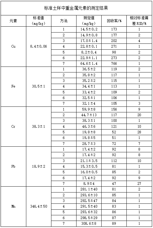
7种消解方法和标准土样比较,结果表明Cu元素在采用5号方法时,测定含量的值偏低,采用其他方法测定结果均高于标准值,而在测定6、7号样品时火焰原子吸收曲线变化幅度较大;Fe元素在7种方法测定下含量均高于标准值,但在测定7种样品时,火焰原子吸收曲线变化幅度均较大;Cr元素采用方法1、方法2以及方法4时,测定含量的值偏高,采用方法3时,测定结果与标准方法一致,采用方法5、方法6以及方法7时,测定结果均低于标准值;Pb元素采用方法3时,测定结果高于标准值,采用其他6种方法时,测定结果均低于标准值,其中方法7测定结果低于标准值的50%;Mn元素采用的7种方法测定结果均低于标准值。相对于其他4种土壤重金属含量的测定而言,Cr的消解效果较差,方法6回收率仅为51%。消解结束后溶液呈棕黄色,有灰黑色残渣,消解不完全,这可能是由于土壤中存在大量的硅,一部分重金属元素存在于矿物晶格中,且晶格比较稳定,只有氢氟酸才能破坏这类晶格,释放出里面的元素,消解液无法将土样中Cr彻底溶出,是造成回收率偏低的直接原因。

标准土样中重金属元素的测定结果


Cu元素、Fe元素7种方法重金属回收率均达到90%,Cr元素在采用方法5、6、7时,Pb元素采用方法4、5、7时,Mn元素采用所有样品蒸千时,回收率均低于90%,说明电热板温度控制不正确时土壤重金属不易消解完全。


结论

不同类型的土壤中重金属含量有较大差异,不同消解方法对重金属含量分析的影响也有差异。7种消解方法对标准土样Cu、Fe、Mn、Pb、Cr含量的测定值显示,只有Fe、Mn含量的测定值在标准值范围内,Cu含量在HClO4,蒸干的条件下测定值不在标准范围内,Pb含量在HNO3,蒸干、HF蒸干HClO4,蒸干以及HNO3、HClO4,同时蒸干、HNO3、HF、HClO4,同时蒸干的条件下测定值不在标准范围内,Cr含量在只有HClO4,蒸干的条件下测定值在标准值范围内。总的来说,HNO3+ HF+HClO4,体系的电热板消解对土样中的各种重金属都有较理想的消解效果,但是,加酸量的多少以及电热板温度控制的准确性都影响土壤重金属含量的测定。因此,在测定土壤中重金属含量的时候应尽量事先多选用几种方法做对比实验,通过对结果的分析,从中选取适合该土壤类型的测定方法。


【相关推荐】

全国服务热线

020-87026500
020-87026501

米兰手机登录入口 版权所有GUANGZHOU YIDE PRECISION SCIENTIFIC INSTRUMENTS CO., LTD.

公司地址:广州市黄埔区开创大道1936号萝岗奥园广场1016-1017室
备 案 号 :粤ICP备09106369号
      

联系方式contact US

  • 电话:020-87026500/01
  • 传真:020-87026502
  • 邮箱:info@yidekeyi.com
  • 扫一扫 微信二维码

粤公网安备 44010602008489号